Особенности расчета и конструирования крупнопанельных зданий с напрягаемой арматурой
Натяжение вертикальной арматуры, как было показано ранее численными методами, стесняет деформацию бетона омоноличивания. Полученные результаты позволяют сделать заключение, что с точки зрения прочности самого шпоночного соединения устанавливать арматурные связи нет необходимости при условии натяжения вертикальной арматуры. Исходя из этого можно сделать вывод, что целесообразно устанавливать горизонтальные арматурные связи лишь в уровнях междуэтажных перекрытий для восприятия распора при сдвиге в шпонках вертикального стыка.
Расчет и конструирование элементов сейсмостойких крупнопанельных зданий с напрягаемой связевой арматурой и шпоночным соединением элементов производятся в соответствии с общими принципами расчета крупнопанельных зданий, изложенными в СНиП 2.03.01—84, СНиП II-7-81, ВСН 32-77 с учетом особенностей, связанных с упрощением конструкции стеновых панелей, плит перекрытий, стыковых соединений и введением напрягаемой связевой арматуры. Для выполнения расчетно-конструкторских работ по проектированию зданий нового типа достаточно сведений, изложенных в этих нормативных документах.
В экспериментальном здании серии I-464AC, переработанных проектах зданий серий 127, 135, 143 и др. напрягаемая связевая арматура создает незначительное предварительное напряжение в бетоне стеновых панелей (в горизонтальном направлении 0,1 МПа, в вертикальном— 0,2 МПа), поэтому трещиностойкость отдельных элементов (стеновых панелей) мало зависит от напрягаемой арматуры. Расчеты для вариантных проектных разработок показывают, что необходимость существенного предварительного напряжения обычно возникает только в домах повышенной этажности, поскольку несущая способность зданий до девяти этажей в основном обеспечивается шпоночным соединением, а трещиностойкость элементов — обычной ненапрягаемой арматурой, и можно ограничиться минимумом связевой арматуры, обусловленным конструктивными требованиями СНиП П-7-81 и ВСН 32-77. В зданиях повышенной этажности (более девяти этажей) и при сильных сейсмических воздействиях (более 8 баллов) количество напрягаемой связевой арматуры увеличивается, однако и в малоэтажных обычных зданиях предварительное напряжение связевой арматуры играет важную роль в обеспечении трещиностойкости стыков.
При появлении в стыках трещин (независимо от природы силовых воздействий) совместная работа бетона замоноличивания стыка и бетона панелей меняется: в результате перераспределения напряжений обжатие бетона панелей несколько уменьшается, а бетона замоноличивания стыка — увеличивается. Из-за появления трещин и частичного нарушения сцепления усилие предварительного напряжения связевой арматуры может быть отнесено в основном к сечению бетона замоноличивания стыка. Сжимающие напряжения в бетоне стыка увеличиваются до 3—5 МПа, в результате чего при эксплуатационных нагрузках нормальные, а также частично косые трещины закрываются.
Таким образом, напрягаемая связевая арматура повышает трещиностойкость стыков, создавая систему, активно реагирующую на сейсмические воздействия.
Вертикальные стыки наружных и внутренних стеновых панелей рассчитываются на усилия сдвига. Как и при горизонтальных стыках, геометрические размеры и количество шпонок определяются по наиболее напряженному элементу и в однотипных панелях количество их назначается одинаковым. Напрягаемая связевая арматура повышает прочность шпоночного соединения стыка, поскольку в соответствии с ВСН 32-77 вертикальная связевая арматура является в нем продольной, расположенной вдоль плоскости сдвига, а горизонтальная — поперечной. Поэтому шпоночное соединение стыка следует рассчитывать по образованию наклонной трещины между шпонками по формулам (133) и 134 ВСН 32-77, но с учетом предварительного напряжения арматуры.
Шпоночные соединения в горизонтальных стыках наружных и внутренних стеновых панелей и плит перекрытия следует рассчитывать: на смятие площадки (через которую на шпонку передается сдвигающая сила) — по прочности бетона замоноличивания; на срез шпонки вдоль направления действия сдвигающей силы — по прочности бетона панелей; на образование наклонной трещины между шпонками — по прочности бетона панелей. В соответствии с Руководством по проектированию бетонных и железобетонных конструкций из тяжелого бетона (п. 3.114) при определении высоты шпонок нужно учитывать наличие сжимающей силы, уменьшающей усилие сдвига.
Судя по данным лабораторных и натурных испытаний, а также по результатам анализа состояния крупнопанельных зданий при сейсмических воздействиях, в момент землетрясений в швах и стыках между сборными элементами образуются трещины. Это приводит к такому перераспределению усилий, что элементы взаимодействуют в основном через шпоночные соединения и арматурные связи, причем в работу полностью включается предварительно напряженная арматура, выполняющая функцию не только связей, но и рабочей арматуры. Поэтому в зданиях повышенной этажности и при интенсивных сейсмических воздействиях напрягаемая связевая арматура (особенно вертикальная) в качестве рабочей воспринимает значительные усилия и назначается не по конструктивным соображениям, а в соответствии с данными расчета. Так, расчет, выполненный на ЭВМ, показал, что при землетрясении интенсивностью 8 баллов в стенах девятиэтажного здания могут появиться растягивающие напряжения, но даже при установке конструктивной арматуры (1 см2 на 1 м стыка) с последующим натяжением они не возникают.
С увеличением высоты здания площадь вертикальной напрягаемой арматуры соответственно возрастает, в то же время армирование стеновых панелей может остаться неизменным. Такой подход не только делает расчетную схему более четкой, а расчет более надежным, но и открывает широкие возможности для унификации стеновых панелей и уменьшения марок в условиях заводского изготовления.
Таким образом, для возведения крупнопанельных зданий в несейсмических районах и в районах с различной сейсмичностью могут использоваться одни и те же панели, а несущая способность здания будет варьироваться изменением количества напрягаемой вертикальной арматуры.
После определения расчетных усилий, действующих в инструкции здания, прочность несущих элементов (стеновых панелей) определяется в соответствии с [11]. Расчет несущих элементов может выполняться приближенными методами, изложенными в работах. В этом случае прочность проверяется без учета пластических деформаций, принимая во внимание следующие допущения: справедливость гипотезы плоских сечений; нормальные сжимающие напряжения в бетоне считаются изменяющимися от значения σmin до σmах по линейной зависимости; максимальные нормальные сжимающие напряжения не превышают сопротивление σmах элемента при внецентренном сжатии, которое вычисляется по рекомендации; сопротивление растяжению бетона растянутой зоны сечения Rbt принимается равным нулю; напряжения в продольной арматуре, расположенной в растянутой зоне сечения, определяются в зависимости от относительной высоты сжатой зоны ε по указаниям СНиП 2.03.01-84 площадь сечения продольной сжатой арматуры учитывается приведением ее к бетону по соотношению модулей упругости арматуры Еs и бетона Еb, подсчитываемого с учетом податливости горизонтальных стыков; усилия предварительного натяжения арматуры прикладываются к несущему элементу как внешние силы и суммируются с продольной силой М, действующей в рассматриваемом сечении; шпоночные соединения вертикальных стыков принимаются монолитными независимо от их конструктивного решения.
Перечисленные допущения позволяют проверить прочность несущих элементов с достаточной для практики точностью. С ростом степени предварительного обжатия несущих элементов напрягаемой арматурой появляется необходимость в расчете элементов с учетом нелинейности вследствие ползучести бетона, трещинообразования и пластических деформаций.
Количество напрягаемой арматуры и степень ее натяжения определяются конструктивными требованиями и значением расчетных усилий, определенных при расчете здания на статические и сейсмические воздействия. Как уже указывалось, в качестве вертикальной предварительно напряженной арматуры используются канаты класса К-7 диаметром 9—15 мм с характеристиками:
нормативное сопротивление растяжению Rнs и расчетное сопротивление растяжению для предельных состояний второй группы Rs,ser = 1370... 1295 МПа;
расчетное сопротивление арматуры растяжению для предельных состояний первой и второй группы определяется по формуле (п. 2.26) СНиП 2.03.01-84 Rs = Rsh/Υs, где ys—коэффициент безопасности по арматуре, равный 1,5 при расчете по предельным состояниям первой группы и 1 при расчете по предельным состояниям второй группы. Таким образом, Rs = 1145...1080 МПа, Rsc = 400 Мпа.
Коэффициент условий работы арматуры принимается в соответствии с табл. 24 СНиП 2.03.01-84.
Длина зоны передачи напряжений lп.н (зона анкеровки) для вертикальной напрягаемой арматуры без анкеров определяется по формуле (11) СНиП 2.03.01-84.
Анкеровка канатной арматуры в монолитном фундаменте представляет определенные технологические трудности. Поэтому рекомендуется производить анкеровку канатной арматуры в вертикальных стыках цокольного этажа. Расчеты показывают, что высота цокольного этажа с запасом превышает длину зоны анкеровки.
Передаточная прочность бетона замоноличивания стыка регламентируется п. 26 СНиП 2.03.01-84 и для арматуры класса К-7 без высаженных головок должна быть не менее 15,5 МПа и не менее 50 % принятого класса бетона. Однако экспериментальные данные свидетельствуют, что без увеличения потерь напряжения передаточная прочность может быть уменьшена. Этому также способствуют конструктивные мероприятия, например косвенное армирование, а также поздняя передача (после 28 дней) усилия натяжения на бетон омоноличивания.
Предварительное напряжение вертикальной канатной арматуры класса К-7 без учета потерь должно составлять 0,21 Rs,ser ≤ σ < 0,76 Rs.ser, при наличии перегибов σ ≤ 0,7 Rs,ser.
При расчете необходимо учитывать следующие потери напряжений. До омоноличивания вертикальных стыков: первые потери — от релаксации напряжений в арматуре, температурного перепада, деформации анкеров; вторые потери при значительном проценте армирования и соответствующих напряжениях сжатия в бетоне стеновых панелей — от деформации горизонтальных стыков между стеновыми панелями.
Потери напряжений до омоноличивания стыков могут быть сведены до минимума повторным натяжением арматуры до бетонирования стыков. При этом после омоноличивания вертикальных стыков, достижения бетоном передаточной прочности и передачи усилия на бетон омоноличивания стыка учитываются вторые потери от релаксации напряжений в арматуре, усадки и ползучести бетона, смятия бетона в зонах анкеровки. Суммарные потери следует принимать не менее 100 МПа.
Определение потерь выполняется в соответствии с табл. 5 СНиП.2.03.01-84:

После определения количества напрягаемой арматуры и величины потерь натяжения проверка прочности несущих элементов выполняется по упрощенной методике, изложенной в работах.
Новые конструктивные решения отличаются от традиционных уменьшением количества свариваемых арматурных выпусков. При этом объединение элементов в единую пространственную систему обеспечивается использованием высокопрочной напрягаемой арматуры, эквивалентной по прочности арматурным выпускам в традиционном варианте, а также благодаря шпоночным соединениям.
Как правило, в новом варианте выпуски оставляются лишь из конструктивных соображений (в том числе из условий монтажа), а также в тех случаях, когда необходимая прочность не обеспечивается только напрягаемой арматурой. Чаще всего выпуски устраиваются там, где постановка напрягаемой арматуры экономически нецелесообразна (например, если в плане в одном направлении объединяются только две плиты).
Уменьшению количества выпусков или их полному изъятию сопутствует установка в стыках напрягаемой арматуры равнопрочного сечения (как в горизонтальных, так и в вертикальных). При этом возникает опасение, что в результате вынесения связевой арматуры в стыки вместо ее равномерного распределения по торцам панелей (как в традиционных вариантах) не будет обеспечена необходимая прочность. Опасения эти мотивируются главным образом требованиями СНиП П-7-81 и ВСН 32-77 размещать выпуски не более чем через 60 см.
По этому поводу необходимо отметить следующее.
По данным работы несущая способность стыка зависит от распределения арматуры по длине (высоте). Особым, наиболее важным случаем является сосредоточение арматуры в уровне перекрытий. По данным, при сосредоточении связевой арматуры по торцам панелей несущая способность стыка уменьшается на 10— 20 %. В работе даны результаты выполнения серии испытаний «Лаинг» для сравнения влияния на прочность стыка сосредоточенной и распределенной арматуры.
На основании экспериментальных исследований рекомендовано несущую способность стыков при сдвиге определять по формуле

Из анализа зависимости, основанной на экспериментальных данных, следует, что несущая способность шпоночного стыка пропорциональна силе обжатия (Nc), прочности поперечной арматуры (ASRS) и коэффициенту распределения связей mр. Таким образом, можно сделать выводы, что при конструировании стыков зданий с напрягаемой арматурой и шпоночным соединением элементов:
допускается эквивалентная замена связевой арматуры на стали более высоких классов меньшего диаметра при условии сохранения величины ASRS, характеризующей несущую способность арматуры;
сдвиговая прочность вертикальных стыков зависит от степени натяжения горизонтальной связевой арматуры, а прочность горизонтальных стыков — от степени натяжения вертикальной связевой арматуры и значения пригрузки, стыка собственным весом конструкций;
допускается сосредоточение связевой арматуры соответственно в горизонтальных и вертикальных стыках (т.е. по торцам стеновых панелей). При этом несущая способность связевой арматуры должна быть на 15 % больше, чем в случае распределенных связей (mр = 0,85).
Изложенные положения позволяют обоснованно выполнить конструктивные решения стыков и узлов зданий с напрягаемой арматурой при разработке вариантов типовых проектов различных серий.
Объединение междуэтажных перекрытий в единый диск (горизонтальную диафрагму жесткости) осуществляется непрерывной горизонтальной связевой арматурой и соединениями плит перекрытия шпонками типа «ласточкин хвост». Шпонка образуется омоноличиванием выемок в смежных плитах-перекрытий. До бетонирования в выемки укладывается плоский арматурный каркас, который воспринимает растягивающие усилия между плитами. Сдвигающие усилия в соединении воспринимаются железобетонными шпонками горизонтального стыка внутренних стеновых панелей (см. рис. 23, а).
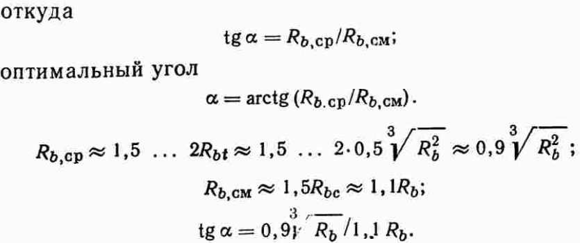
Таким образом, оптимальная конфигурация шпонки типа «ласточкин хвост» будет в том случае, когда ее несущая способность при работе на срез и на смятие одинакова и равна ее прочности на растяжение, т. е. ASRS. Определим оптимальный угол α, обеспечивающий равнопрочность на смятие и срез (рис. 45) при толщине шпонки h; площадь среза Ab,сp - hd; площадь смятия Ab,cм = hd/cosα; усилие среза Ncp = AsRs; усилие смятия Ncm = AsRs/sinα.

Рис. 45. Определение оптимальной конфигурации шпонки типа «ласточкин хвост»
Условие равнопрочности выразится соотношениями: напряжение среза


Для тяжелых бетонов: класса В15 tgα ≈ 0,14; α = 12°; класса В25 tgα ≈ 0,12; α = 10°.
Таким образом, оптимальный угол α для шпонки типа «ласточкин хвост» составляет 12—18°:
В вертикальных стыках крупнопанельных зданий от эксплуатационных воздействий могут образовываться и раскрываться продольные и нормальные (наклонные) трещины. В ВСН 32-77 даются рекомендации по определению величины раскрытия продольных трещин, а также методика подсчета деформаций сдвига до трещинообразования. Даны формулы для несущей способности железобетонных шпонок после появления трещин.
При определении момента образования трещин следует учитывать, что железобетонные шпоночные соединения характеризуются двумя стадиями работы при сдвиге — до и после образования трещин. До образования трещин от сдвигающей нагрузки соединение рассчитывается как бетонное без учета сопротивления арматуры. Усилие сдвига, вызывающее образование трещин в железобетонном шпоночном соединении, допускается принимать равным несущей способности при сдвиге бетонного шпоночного соединения.
После образования трещин несущая способность при сдвиге железобетонного шпоночного соединения определяется с учетом сопротивления арматуры, расположенной в стыке перпендикулярно направлению сдвига (поперечная арматура стыка) и вдоль направления сдвига (продольная арматура). В качестве поперечной арматуры стыка служит горизонтальная связевая арматура, расположенная в уровнях перекрытий, а также при повышенной балльности — арматурные выпуски из панелей, соединенные одни с другими сваркой.
Арматура стыка должна быть замоноличена бетонной смесью или раствором. При этом необходимо соблюдать требования к защитным слоям и расстояниям между стержнями, регламентируемые нормами проектирования железобетонных конструкций.
Несущую способность при сдвиге железобетонного шпоночного соединения после образования трещин разрешается определить с учетом перераспределения сдвигающих усилий между шпонками. В крупнопанельных зданиях с напрягаемой арматурой напряженное состояние вертикальных стыков и соответствующая расчетная схема отличаются от тех, которые предлагаются для обычных крупнопанельных зданий, особенно это касается определения момента трещинообразования, т. е. трещиностойкости стыка.
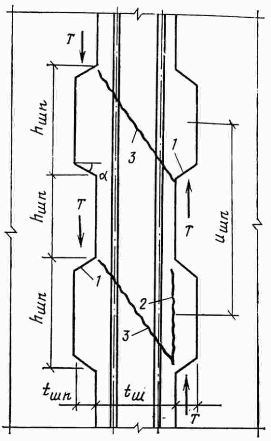
Рассмотрим схему шпоночного соединения вертикального стыка с напрягаемой арматурой (рис. 46). Как и в традиционном стыке, его прочность определяется смятием бетона по площадке 1 или срезом по площадке 2. Трещиностойкость определяется по наклонной площадке 3. Очевидно, что несущая способность стыка на срез или смятие больше, чем прочность по наклонному сечению 3, поэтому для нормальной работы стыка обеспечить его достаточную прочность по наклонному сечению весьма важно. Этим также обеспечивается и необходимая трещиностойкость стыка по нормальным (в данном случае наклонным) трещинам.

Рис. 46. Схема шпоночного соединения вертикального стыка с напрягаемой арматурой: 1 – площадка смятия, 2 – площадка среза, 3 – площадка образования трещин
Трещиностойкость бетона омоноличивания стыка определяется усилием сдвига (п. 4.4 СНиП 2.03.01-84)

Таким образом, трещиностойкость вертикальных стыков с напрягаемой связевой арматурой по нормальным трещинам возрастает по сравнению с ненапряженным стыком в 5 раз. С повышением этажности здания и сейсмичности площадки строительства увеличиваются процент армирования напрягаемой арматурой и, следовательно, трещиностойкость стыка.
Аналогичные результаты могут быть получены и другим путем — подсчетом коэффициента податливости шпонки при сдвиге до образования трещин

Трещиностойкость горизонтальных стыков стеновых панелей, как правило, обеспечивается значительной величиной нормальной силы от собственного веса элементов здания. Однако для верхних этажей нормальная сила относительно мала, и здесь натяжение вертикальной арматуры существенно сказывается на трещиностойкости горизонтальных стыков. Покажем это на основе анализа методики определения раскрытия трещин в соответствии с действующими нормативными документами.
Раскрытие продольных трещин определяется по формуле

С ростом этажности и сейсмичности площадки строительства количество напрягаемой арматуры увеличивается, поэтому в соответствии с выражениями (10), (11) значение N уменьшается, а значение А увеличивается (λр — уменьшается). С ростом же площади напрягаемой арматуры раскрытие трещины асг уменьшается. Аналогичный вывод можно сделать, анализируя зависимости (13) и (14) при определении раскрытия трещин по формуле (12). Если усилия натяжения горизонтальной арматуры больше усилия распора, а усилие натяжения вертикальной арматуры больше усилия сдвига, то трещины не возникают. Таким образом, напрягаемая арматура значительно повышает трещиностойкость стыков крупнопанельных зданий.
Сведения об авторе и источнике:
Автор: Л. С. Махвиладзе
Источник: Сейсмостойкое крупнопанельное домостроение
Дата добавления: 2025-03-25; просмотров: 395;











