Получение переменного тока. Действующие значения тока и напряжения.
Переменным называется ток, который меняется по величине и направлению. Получение переменного тока основано на явлении ЭЛЕКТРОМАГНИТНОЙ ИНДУКЦИИ.Устройство генератора переменного тока. Неподвижная часть – статор. В пазах статора уложены проводники – обмотки. Вращающаяся часть - якорь электромагнит с несколькими полюсами (2, 4, 6 и т. д.). Принцип работы генератора переменного тока. При равномерном вращении ротора в обмотках статора наводится ЭДС: где N - число витков обмотки статора.
- циклическая частота
Частота ЭДС равна: где р - число пар полюсов, а n - число оборотов ротора в секунду.На гидроэлектростанциях в генераторе число пар полюсов равно 40 - 50,а на тепловых - 10 -16.Вырабатываемое напряжение в промышленных генераторах 103 - 104 снимается с обмоток статора.
Законы изменения напряжения, силы тока.
Максимальная сила тока в цепи по закону Ома
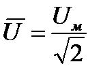
Среднее (действующее) значение силы тока и напряжения. Мощность тока.Действующее значение I силы переменного тока равно силе такого постоянного тока, который за время, равное периоду T, выделяет такое же количество теплоты, что и переменный ток:
Средняя мощность тока за период
Дата добавления: 2016-09-26; просмотров: 2468;











