Расчет треугольников скоростей
Методика расчета треугольников скоростей (рис. 4.7) для решеток турбинных ступеней основывается на приведенных ранее выражениях расчета абсолютной с1t (4.8) и относительной w2t (4.11) скоростей, а также формулах расчета косоугольных треугольников.

Рис. 4.7. Треугольники скоростей для турбинной ступени активного типа
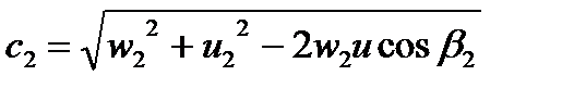
После оценки значения скорости с1=jс1t, расчета окружной скорости u=pdn, выбора угла a1, вычисляется относительная скорость w1на входе в рабочую решетку по формуле
. (4.17)
Угол b1 определяется по формуле
. (4.18)
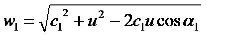
После оценки относительной скорости w2 = yw2t и определения угла b2 (для активных ступеней b2 » b1 - (2…40)) абсолютная скорость
, (4.19)
а угол a2 находится по формуле
. (4.20)
Примеры исполнения элементов турбинных ступеней
На рис. 4.8 показан ротор двухпоточного цилиндра паровой турбины с дисками и рабочими решетками. В левой части ротора имеет место полумуфта для соединения с ротором соседнего цилиндра. В правой части на валу видны расточки концевых уплотнений, а также участок (шейка вала) для установки радиального подшипника.

Рис. 4.8. Ротор двухпоточного цилиндра турбины
На рис. 4.9 представлена нижняя половина диафрагмы турбинной ступени с сопловой решеткой. Позициями 1 здесь показаны сопловые лопатки, позицией 2 - полотно диафрагмы, а 12 - нижняя часть обоймы, в которой установлена диафрагма. В обойме устанавливаются несколько диафрагм турбинных ступеней (на рисунке показаны пазы для установки трех диафрагм).

Рис. 4.9. Нижняя половина диафрагмы турбинной ступени
На рис. 4.10,а показан фрагмент рабочей решетки с лопатками 1, которые посредством Т-образного хвостовик 2 заводятся в паз 3 диска ротора. По периферийному диаметру все лопатки скрепляются бандажной лентой 7 посредством шипов 6. Выступы 12 на ленте образуют надбандажное уплотнение в рабочей решетке ступени. На рис. 4.11,б показана конструкция рабочей лопатки, состоящей из профиля 1 с входной 8 и выходной 9 кромками, хвостовика 2 с выступами 10 корневого уплотнения. Позицией 11 отмечены боковые замки хвостовика, не позволяющие рабочей лопатке при вращении выходить из паза 3 диска.

Рис. 4.10. Фрагмент рабочей решетки (а) и
конструкция рабочей лопатки с Т-образным хвостовиком (б)
Дата добавления: 2017-06-13; просмотров: 3273;











