Влияние температурного градиента на фрикционные свойства металлополимерных трибосистем в зоне контакта
Теплообразование при трении в условиях высоконагруженного контакта выступает ключевым фактором, ограничивающим работоспособность тормозных систем подвижного состава железнодорожного транспорта. Недостаточная изученность влияния температуры и температурного градиента на фрикционные характеристики металлополимерных трибосистем существенно сужает область применения полимерных материалов в узлах трения. Данная проблема также является основным препятствием для разработки научно обоснованных принципов создания композиционных материалов как фрикционного, так и антифрикционного назначения.
Исследования отечественных и зарубежных ученых [52-55] в значительной степени затрагивают вопросы воздействия температуры на механические свойства полимеров. С практической стороны это обусловлено необходимостью решения задач применения пластмасс в различных температурных режимах. Теоретическая значимость таких исследований заключается в углублении понимания физики твердого тела и определении перспективных направлений решения технических проблем.
В развитии теории трения и износа относительно новым направлением выступает изучение влияния температурного градиента на взаимодействие и разрушение трущихся поверхностей. На практике наблюдаются случаи, когда градиенты температур provoque возникновение напряжений в поверхностном слое деталей сопряжений, достаточных для пластического контакта. Это происходит даже при невысокой объемной температуре элемента и давлениях, в обычных условиях вызывающих лишь упругие деформации.
Рассмотрение влияния температуры на физико-механические свойства антифрикционных композиционных материалов необходимо осуществлять с позиций теории трения и износа. Воздействие температуры на трибологические характеристики проявляется через изменение механических свойств полимера: модуля упругости (при упругом контакте) и твердости (при пластическом контакте). Важно учитывать комплексное влияние температуры и температурного градиента на физико-механические свойства пластмасс.
Теория теплопроводности ставит задачу определения температуры в отдельных точках тела в любой момент времени. В математическом аспекте это сводится к нахождению распределения температур в виде непрерывной дифференцируемой функции. Классические методы теплового расчета не позволяют определить характер изменения температурного поля в тонких поверхностных слоях трибоконтакта с учетом изменений свойств материала.
Особенность расчета температурного поля при скользящем контакте заключается в необходимости удовлетворения граничных условий. Это связано со сложной геометрией фрикционных сопряжений и неполным взаимным перекрытием рабочих поверхностей, когда коэффициент взаимного перекрытия Kвз ≠ 1. В колодочных тормозах подвижного состава тормозные колодки покрывают лишь 25-30% площади трения (Kвз = 0,25-0,3), что не позволяет пренебрегать теплопотерями обнаженной поверхности трения.
Расчет температурного поля в металлополимерной трибосистеме "колесо - тормозная колодка" базируется на теории регуляризации сингулярно возмущенных задач. Данный подход позволяет исследовать характер изменения температуры и температурного градиента в пограничной области фрикционного контакта. Учитываются режимы работы узла трения, изменения свойств материала в поверхностном слое и смена граничных условий.
Сопряжение "колесо - тормозная колодка" является характерным примером трибосистемы "вал - частичный подшипник" (рис. 1.3.15). Процесс нагревания бандажа сложнее, чем колодки, поскольку каждый участок поверхности катания попеременно нагревается под колодкой и охлаждается. Решение уравнения теплопроводности затруднено сменой граничных условий, что требует учета теплопотерь с обнаженной поверхности трения.

Рис. 1.3.15. Схема металлополимерной трибосистемы вал - частичный подшипник
При торможении подвижного состава колеса покрываются слоем пыли, часто смешанной со смазочным материалом, что создает тепловую изоляцию от окружающей среды. Коэффициент теплоотдачи при этом значительно уменьшается. В каждом конкретном случае необходимо определять зависимость температуры и ее градиента от коэффициента теплоотдачи.
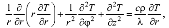
Рассмотрим колесо как диск радиуса R и толщины 2h. Введем цилиндрическую систему координат r, ϕ, z, где Т(r, ϕ, z, t) — температура в точке с координатами r, ϕ, z в момент времени t. При установившемся процессе вращения с постоянной угловой скоростью ω и неизменной силе прижатия колодок функция Т(r, ϕ, z, t) является периодической по времени с периодом π/ω (для двух колодок). Альтернативно можно считать колесо неподвижным, а колодки — вращающимися против часовой стрелки.
Источником тепла выступают тончайшие непрерывные поверхностные слои, примыкающие к фактической площади контакта трущихся тел. При изотропности материала колеса уравнение теплопроводности принимает вид:

где c — удельная теплоемкость материала колеса; λ — теплопроводность; ρ — плотность (при условии c, ρ, λ = const).
Граничные условия на торцах (z = ±h) определяются свободным теплообменом с коэффициентом теплоотдачи αz:

где Tс — температура окружающей среды.
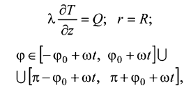
На цилиндрической поверхности (r = R) под колодками происходит генерация тепла:

где Q = fPvK; f — коэффициент трения; P — удельная нагрузка на колодку; v — линейная скорость на ободе колеса; K — коэффициент разделения тепловых потоков.
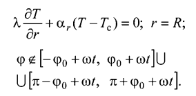
На остальных участках цилиндрической поверхности осуществляется свободный теплообмен с коэффициентом теплоотдачи αr:

Для решения подобных задач целесообразно применение асимптотических методов. Асимптотический анализ дифференциальных операторов имеет развитую теорию для случая регулярных возмущений. Изучение особенностей поведения поверхностных слоев трибоконтакта требует разрешения сингулярно возмущенных задач — задач с малым параметром при старшей производной.
Перспективным методом нахождения температурного поля в пограничных слоях трибосистемы является метод С.А. Ломова [56]. Метод основан на регуляризации сингулярно возмущенных задач путем перехода в пространство безрезонансных решений, индуцируемое исходной задачей. Индуцированное пространство определяется по спектральным характеристикам исходного оператора, что позволяет использовать спектральную теорию операторов.
Данный метод позволяет строить решения для случаев, когда предельная задача качественно отличается от исходной (возмущенной). Это особенно важно для анализа неравномерностей в физических системах, включая ситуации возникновения градиентов со сменой направления в поверхностной зоне фрикционного контакта.
Полные расчеты в рамках метода демонстрируют наличие поверхностного максимума у нестационарной составляющей температурного поля [51, 57]. Максимальная температура достигается не на поверхности, а внутри колеса, что создает отрицательный температурный градиент в поверхностном фрикционном слое трибосопряжения. Это явление выступает одной из причин интенсивного изнашивания бандажа колес композиционными тормозными колодками.
Выделяющийся из композиционной колодки в результате термомеханодеструкции водород диффундирует в зону максимальной температуры [58], вызывая охрупчивание бандажа и его разрушение. Величина и расположение температурного максимума определяются внешними факторами (величина импульса, форма и частота приложения, скорость скольжения, размеры образца, условия теплообмена) и внутренними свойствами материала (механические и теплофизические характеристики).
Экспериментальное подтверждение наличия температурного максимума вблизи рабочей поверхности получено методом диагностики на основе поверхностных акустических волн Рэлея. Энергия поверхностной волны Рэлея локализована в слое толщиной (1-1,5)λ, причем глубина проникновения зависит от частоты волны. Изменяя частоту возбуждения, можно получить картину распределения температурного поля в поверхностном слое.
Температурный градиент grad T существенно влияет на коэффициент трения и интенсивность изнашивания. Зависимость трибологических характеристик от grad T обусловлена возникновением напряжений сжатия в пограничной области фрикционного контакта. Эти напряжения изменяют показатели твердости, модуля упругости и предела прочности на срез полимерных материалов, определяющих трибологические характеристики.
Установление экспериментальных и теоретических закономерностей влияния температуры и температурного градиента на трибомеханические, трибоэлектрические и трибохимические процессы позволяет разработать принципы создания трибосистем различного назначения. Это также создает основу для управления структурой и фрикционными характеристиками данных систем.
Сведения об авторах и источниках:
Авторы: Анисимов П.С., Винокуров В.А., Воробьев В. И., и др.
Источник: Подвижной состав железных дорог
Данные публикации будут полезны студентам железнодорожных специальностей (эксплуатация железных дорог, подвижной состав), начинающим специалистам в области локомотивостроения и эксплуатации тягового подвижного состава, а также всем, кто интересуется устройством, классификацией и современными тенденциями развития железнодорожной техники.
Дата добавления: 2026-03-05; просмотров: 59;











