Аналого-цифровое и цифроаналоговое
Преобразование. Основные элементы цифровых
Устройств
В основе функционирования любой системы автоматизации лежат
информационные процессы — сбор датчиками информации об объ-
екте, ее преобразование, передача, обработка и хранение. Прежде
чем информация дойдет от отправителя до получателя, она подвер-
гается различным преобразованиям. Это связано с тем, что техноло-
гические параметры, характеризующие состояние объекта управле-
ния, представляют собой непрерывные физические величины (тем-
пература, давление, уровень, скорость и т.д.). Датчик, измеряющий
какой-либо параметр, преобразует его также в непрерывный сигнал,
удобный для дальнейшей передачи (чаще всего электрический). Такой
сигнал называется аналоговым — это сигнал, определенный для
любого момента времени, т.е. он представляет собой непрерывную
функцию времени. Обработка же полученной информации посред-
ством микропроцессоров требует представления информации в циф-
ровой форме. В то же время существует достаточно большое количе-
ство устройств, рассчитанных на унифицированный аналоговый
входной сигнал, что требует обратного преобразования информации
в аналоговую форму. Таким образом, процесс получения необходимой
информации об объекте требует целый ряд различных преобразова-
ний; контролируемые параметры объекта преобразуются вначале в
естественные аналоговые сигналы, затем в цифровые, которые после
обработки либо передаются по одному из цифровых интерфейсов
либо преобразуются в унифицированный аналоговый сигнал. Таким
образом, все параметры подвергаются двум основным преобразова-
ниям: аналого-цифровому и цифроаналоговому.
Аналого-цифровые преобразователи (АЦП) преобразуют инфор-
мацию о сигнале в аналоговой форме, т. е. о напряжении, непрерыв-
ном во времени, в информацию о нем в форме цифрового кода

обычно в двоичной системе счисления. Они используются, например,
для ввода информации в управляющую ЭВМ от датчиков состояния
объекта управления. На рис. 12.2, а приведена принципиальная схе-
ма параллельного АЦП на два разряда (т. е. он преобразует входное
напряжение в двухразрядный двоичный код). Основными элемента-
ми этого АЦП являются компараторы на базе операционного усили-
теля (ОУ), работающего в импульсном режиме.
Схема, поясняющая работу компаратора, показана на рис. 12.3, а.
К неинвертирующему входу ОУ подключен источник постоянной
ЭДС Е0, а к инвертирующему входу — источник сигнала с линейно
изменяющейся ЭДС ес = kt (рис. 12.3, б). Для контура, отмеченного
штриховой линией, справедливо выражение

где uвх — напряжение на входе ОУ.
В момент времени ta = E0/k у напряжения uвх отрицательное зна-
чение заменяется положительным (см. рис. 12.3, б). Одновременно
напряжение на выходе ОУ скачком изменится от значения ЭДС ис-
точника питания ОУ до нуля (рис. 12.3, в).
Опорные напряжения для компараторов АЦП (см. рис. 12.2, а)
задаются источником постоянной ЭДС Е0 и делителем напряжения
на резисторах R. Опорный ток I0 будет равен

Работу преобразователя при значении ЭДС = 3 В и опорных
напряжениях компараторов 0,5; 1,5 и 2,5 В иллюстрирует рис. 12.2, б.
Если значение ЭДС преобразуемого сигнала ес < 0,5 В, то напряжения
на выходах всех компараторов равны нулю и цифровой код на вы-
ходе преобразователя равен 00. При увеличении напряжения преоб-
разуемого сигнала сначала в интервале 0,5 В < ес < 1,5 В изменится
значение напряжения с отрицательного на положительное на выходе
только компаратора 1, затем при 1,5В<ес<2,5В — компараторов 1
и 2 и, наконец, при 2,5 В < ес — всех компараторов. Преобразователь
напряжения в код на основе логических элементов НЕ, И и ИЛИ,


показанный на рис. 12.2, а штриховой линией, преобразует совокуп-
ность сигналов с выходов компараторов в цифровой код.
Цифроаналоговые преобразователи (ЦАП) преобразуют цифро-
вой двоичный код в аналоговое выходное напряжение (ток). Это
позволяет, например, использовать цифровой двоичный код для
управления работой исполнительных механизмов, таких как элек-
трические двигатели, реле, выключатели и т.д. На рис. 12.4 показана
принципиальная схема четырехразрядного ЦАП с двоичными весами
сопротивлений резисторов в цепях разрядов. Аналоговый сумматор
выполнен на базе операционного усилителя. Сопротивление цепи
старшего разряда равно R; сопротивление каждого предыдущего
разряда в два раза больше, т.е. для четырехразрядного кода сопро-
тивление младшего разряда составляет 8R. Сопротивление обратной
связи — RoC. Ключи St управляются кодом, подаваемым на вход ЦАП.
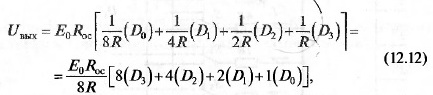
Напряжение Uвых на выходе ЦАП при опорном напряжении Е0 будет
определяться выражением

Тогда напряжение на выходе ЦАП будет определяться выражени-
Ем

где D, — разряд преобразуемого кода, значение которого может быть
О или 1.
Ключами служат транзисторы, обычно полевые, базовые цепи
которых подключаются к источнику цифровых сигналов в двоичной
системе счисления.
Кроме АЦП и ЦАП в цифровых устройствах автоматики широко
используются еще несколько элементов — коммутаторы, дешифра-
торы, счетчики.
Коммутатор (переключатель, мультиплексор) представляет собой
устройство с несколькими информационными и управляющими вхо-
дами и одним выходом. Эти устройства применяются в аналоговых и
цифровых многоточечных измерительных приборах, устройствах свя-
зи с объектом и т.д. Коммутаторы существуют электромеханические
и электронные; последние благодаря высокой скорости коммутации
получили преимущественное распространение. Мультиплексор пред-
ставляет собой устройство, подключающее единственный выходной
канал связи к одному из входов в зависимости от управляющего сиг-
нала, заданного двоичным кодом, — например, его выход последова-
тельно повторяет состояние его информативных входов. Это позволяет
на вход одного АЦП подключать сигналы от различных датчиков —
термопар, термопреобразоватёлей сопротивления и преобразователей
с токовым выходным сигналом. Частота коммутации аналоговых сиг-
налов составляет 1... 100 Гц, импульсных — десятки кГц.
Дешифратор (декодер) представляет собой устройство, которое
преобразует т-разрядный двоичный код на входе в л-разрядный
двоичный код на выходе. Дешифраторы используются в блоках циф-
ровой индикации, цепях логического управления исполнительными
механизмами и т.д. На рис. 12.5, а приведена одна из наиболее рас-
пространенных схем использования дешифратора — для высвечива-
ния десятичных цифр на светодиодном индикаторе. Все цифры от 0
до 9 представляются четырехразрядным двоичным кодом, который
подается на информационные входы х0, хь х2, х3. Светодиодные ин-
дикаторы содержат семь светящихся сегментов А, В, С, D, Е, F, G
(рис. 12.5, б), из которых составляются стилизованные изображения
всех десятичных цифр. Соответственно дешифратор имеет семь вы-
ходов, каждый из которых включает свой сегмент. Таким образом,
дешифраторы преобразуют двоичные сигналы на информационных
входах в активные уровни выходных сигналов. Например, для вы-

свечивания на индикаторе цифры 4 на информационные входы х0,
х„ х2, х3 подается логический 0, а нах2 — логическая 1, т.е. кодовая
комбинация 0100, соответствующая цифре 4 в двоичной форме.
В результате этого активируются выходы В, С, F, G, включающие
одноименные сегменты, и на индикаторе высвечивается цифра 4
(рис. 12.5, в). Дешифратор работает при наличии на управляющем
входе U сигнала высокого уровня; при наличии сигнала низкого
уровня все выходы дешифратора обнуляются независимо от сигналов
на информационных входах.
Все рассмотренные элементы — АЦП, ЦАП, коммутатор и дешиф-
ратор — являются комбинационными устройствами.
Счетчик относится к последовательностным устройствам; он
предназначен для хранения двоичного кода числа и выполнения
микроопераций счета, заключающихся в изменении значения числа
на +1. В суммирующих счетчиках число возрастает на 1, а в вычи-
тающих — уменьшается. Если в счетчике выполняются обе операции,
он называется реверсивным. Основной характеристикой счетчика
является модуль счета Кс, так как от него зависит максимальное чис-
ло сигналов, которое может сосчитать счетчик. Для двоичного счет-
чика Кс = 2, тогда при наличии п разрядов он может посчитать 2"
сигналов, отобразив их в диапазоне чисел от 0 до (2й—1). После сиг-
нала с номером 2" происходит сброс счетчика. В приборах с цифровой
индикацией используются двоично-десятичные счетчики с Кс = 10.
Выходные состояния такого счетчика представляются в виде двоично-
десятичных кодов цифр от 0 до 9. К такому счетчику подключается
дешифратор, управляющий светодиодным сегментным цифровым
индикатором, показывающим число подсчитанных импульсов. Эти
счетчики используются, например, для суммирования импульсов при
определении количества жидкости, прошедшей по трубопроводу. В этом
случае показания счетчиков импульсов умножаются на цену импуль-
са (например, в м3) и отражаются на дисплеях цифровых приборов в
единицах измеряемой величины.
Дата добавления: 2022-05-27; просмотров: 127;











